Pagina 1 di 2
IItaliani scarsi in matematica, test su cicloweb
Inviato: sabato 28 ottobre 2023, 11:34
da Joannes Muller
Da statistiche internazionali la preparazione degli studenti italiani in matematica risulta mediocre.
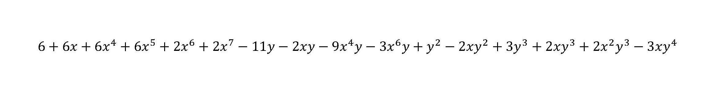
Caterina (nome di fantasia) è una ragazzina, vivace e con desiderio di apprendere. Mi capita di approfondire con lei argomenti di matematica e fisica. Un giorno doveva risolvere vari esercizi di algebra e aveva qualche dubbio. Dopola spiegazione l'ho lasciata qualche minuto e sono andato a guardare un po' di ciclismo sulla Svizzera (Romandia...). Al mio ritorno Caterina tutta sorridente mi dice " non erano difficili...". Abbiamo parlato un po' del concetto di difficoltà e le ho spiegato che spesso uno studente ritiene difficile un esercizio che non sa fare perchè non è preparato. Esistono problemi difficili ma talvolta possono sembrare difficili problemi che non lo sono. Le ho chiesto di chiedere alla sua prof. se la fattorizzazione in allegato si può fare.

- settgrad.jpg (61.25 KiB) Visto 7648 volte
La prof non l'ha presa bene e ha detto "mi stupisco che una ragazza seria come te si comporti in questo modo . L'ho fatto su richiesta di un mio amico appassionato di matematica...Ha voluto prenderti in giro... La storia è finita li ma alcuni compagni hanno cominciato a discutere del fatto se la fattorizzazione fosse possibile o no.
Incredibile come sul Forum nessuno abbia avuto la curiosità di vedere in che modo un polinomio del genere si può scomporre ! Immagino ci sia gente che ha proseguito con studi universitari e in molto corsi c'e' un esame di matematica. Alcuni prof. universitari non hanno saputo scomporre, Caterina (seconda liceo) invece puo' effettuare la scomposizione. Chiaramente i calcoli saranno un po' lunghi ma il procedimento è semplice divertente perchè si tratta solo di rappresentare rette nel piano cartesiano.
Questo esercizio è stimolante perchè si puo' far vedere come un esercizio che pare impossibile da risolvere può esseer risolto con un metodo elementare.
Io continuo a ritenere impossibile che nessuno abbia ideato questo metodo in passato.
P.S: mando volentieri la dimostrazione del metodo a chi lo richiede in posta personale.
Re: IItaliani scarsi in matematica, test su cicloweb
Inviato: sabato 28 ottobre 2023, 21:04
da Galois
Evidentemente non sai un molto di matematica, in particolare non sai che ho dimostrato che non esiste una formula risolutiva per le equazioni di grado maggiore o uguale a 5, ragion per cui la tua "fattorizzazione" si può solo approcciare numericamente o a tentativi, il che la rende una domanda del tutto non stimolante e inutile.
PS: il tuo post è pieno di errori matematici, a proposito...
Re: IItaliani scarsi in matematica, test su cicloweb
Inviato: sabato 28 ottobre 2023, 22:45
da Primo86
Seguo
Re: IItaliani scarsi in matematica, test su cicloweb
Inviato: sabato 28 ottobre 2023, 22:52
da Lambohbk
Galois ha scritto: ↑sabato 28 ottobre 2023, 21:04
Evidentemente non sai un molto di matematica, in particolare non sai che ho dimostrato che non esiste una formula risolutiva per le equazioni di grado maggiore o uguale a 5, ragion per cui la tua "fattorizzazione" si può solo approcciare numericamente o a tentativi, il che la rende una domanda del tutto non stimolante e inutile.
PS: il tuo post è pieno di errori matematici, a proposito...

Re: IItaliani scarsi in matematica, test su cicloweb
Inviato: domenica 29 ottobre 2023, 0:58
da nemecsek.
Benvenuto Evaristo.
...mi chiamo Evaristo
scusate se insisto.

Re: IItaliani scarsi in matematica, test su cicloweb
Inviato: domenica 29 ottobre 2023, 1:01
da pietro
Primo86 ha scritto: ↑sabato 28 ottobre 2023, 22:45Seguo

Re: IItaliani scarsi in matematica, test su cicloweb
Inviato: domenica 29 ottobre 2023, 1:55
da herbie
"il concetto di difficoltà"
molto interessante.
Re: IItaliani scarsi in matematica, test su cicloweb
Inviato: domenica 29 ottobre 2023, 8:25
da galliano

- 08-21-32-perq1.jpg (14.63 KiB) Visto 7448 volte
Re: IItaliani scarsi in matematica, test su cicloweb
Inviato: domenica 29 ottobre 2023, 15:07
da herbie
galliano ha scritto: ↑domenica 29 ottobre 2023, 8:25
08-21-32-perq1.jpg
Questa è appropriazione indebita di fotogramma....per qualche dollaro in più
Re: IItaliani scarsi in matematica, test su cicloweb
Inviato: domenica 29 ottobre 2023, 23:53
da Gimbatbu
Ci vorrebbe Beppe. Lui con i polinomi ci faceva colazione appena alzato...
Beppe! Torna! Anche se non parli di ciclismo, spiegaci almeno le equazioni del nono grado della scala Mercalli!
Re: IItaliani scarsi in matematica, test su cicloweb
Inviato: domenica 12 novembre 2023, 10:28
da Joannes Muller
Galois ha scritto: ↑sabato 28 ottobre 2023, 21:04
Evidentemente non sai un molto di matematica, in particolare non sai che ho dimostrato che non esiste una formula risolutiva per le equazioni di grado maggiore o uguale a 5, ragion per cui la tua "fattorizzazione" si può solo approcciare numericamente o a tentativi, il che la rende una domanda del tutto non stimolante e inutile.
PS: il tuo post è pieno di errori matematici, a proposito...
studia piccolo ignorantello :lo studio di Galois era riferito a equazioni in una variabile.
Cerca anche di capire quello che leggi: ho scritto che posso fattorizzare il polinomio presentato. Evidentemente ci sono polinomi in 2 variabili che non si fattorizzano .
Il metodo, definito elegante e geniale da un noto matematico, permette di fattorizzare polinomi in 2 variabili quando siano
prodotto di termini lineari. In lingua italiana "non sai un molto" è errore..
Sei sul pari di un Antonio Nibali che dicesse a Evenepoel : cambia sport non sei dotato per il ciclismo..
Grazie per aver confermato quanto sia vero " italiani scarsi " in matematica.". Mi piacerebbe molto conoscere i tuoi risultati scolastici. Quello che mi sorprende non è la tua grande ignoranza della matematica ma la superficialità con la quale scrivi di argomenti a te totalmente ignoti..
Re: IItaliani scarsi in matematica, test su cicloweb
Inviato: domenica 12 novembre 2023, 11:08
da Primo86
Joannes Muller ha scritto: ↑domenica 12 novembre 2023, 10:28
In lingua italiana "non sai un molto" è errore..
Buondì,
premetto che come più parte dei connazionali non so nulla di matematica, però capisco qualcosina di italiano.
Non entro, dunque, nell'avvincente diatriba, se non per un minuscolo cenno interpretativo del breve passaggio quotato.
Il messaggio originario del misterioso contendente di questa numerica tenzone mi pare modificato.
Evidentemente il gentiluomo aveva tirato fuori il cazzo, rimettendoselo repentinamente nei pantal.... Cioè nella tastiera, per evitare un eccessivo inasprimento dei toni.
In una frettolosa correzione, il perentorio "non sai un cazzo" è diventato un goffo "non sai un molto".
Prova tu stesso a togliere il molto e infilare il cazzo e giungerai alla medesima conclusione: non di analfabetismo (se non, a quanto pare, matematico), si tratta, ma di evidente errore di battitura.
Tanto dovevo.
Re: IItaliani scarsi in matematica, test su cicloweb
Inviato: domenica 12 novembre 2023, 11:39
da Benoit_Pizzuto
Joannes Muller ha scritto: ↑sabato 28 ottobre 2023, 11:34
Da statistiche internazionali la preparazione degli studenti italiani in matematica risulta mediocre.
Caterina (nome di fantasia) è una ragazzina, vivace e con desiderio di apprendere. Mi capita di approfondire con lei argomenti di matematica e fisica. Un giorno doveva risolvere vari esercizi di algebra e aveva qualche dubbio. Dopola spiegazione l'ho lasciata qualche minuto e sono andato a guardare un po' di ciclismo sulla Svizzera (Romandia...). Al mio ritorno Caterina tutta sorridente mi dice " non erano difficili...". Abbiamo parlato un po' del concetto di difficoltà e le ho spiegato che spesso uno studente ritiene difficile un esercizio che non sa fare perchè non è preparato. Esistono problemi difficili ma talvolta possono sembrare difficili problemi che non lo sono. Le ho chiesto di chiedere alla sua prof. se la fattorizzazione in allegato si può fare.settgrad.jpg
La prof non l'ha presa bene e ha detto "mi stupisco che una ragazza seria come te si comporti in questo modo . L'ho fatto su richiesta di un mio amico appassionato di matematica...Ha voluto prenderti in giro... La storia è finita li ma alcuni compagni hanno cominciato a discutere del fatto se la fattorizzazione fosse possibile o no.
Incredibile come sul Forum nessuno abbia avuto la curiosità di vedere in che modo un polinomio del genere si può scomporre ! Immagino ci sia gente che ha proseguito con studi universitari e in molto corsi c'e' un esame di matematica. Alcuni prof. universitari non hanno saputo scomporre, Caterina (seconda liceo) invece puo' effettuare la scomposizione. Chiaramente i calcoli saranno un po' lunghi ma il procedimento è semplice divertente perchè si tratta solo di rappresentare rette nel piano cartesiano.
Questo esercizio è stimolante perchè si puo' far vedere come un esercizio che pare impossibile da risolvere può esseer risolto con un metodo elementare.
Io continuo a ritenere impossibile che nessuno abbia ideato questo metodo in passato.
P.S: mando volentieri la dimostrazione del metodo a chi lo richiede in posta personale.
Mon Amis
Visto che sousponi a nous un Probleme de mathematique che pour toi e pour la petite adolescente est tres facil (ma lo sanno le autorità che ti incontri con ragazzine minorenni a parlare di matematica?) perché tu ne montre pas a nous la soluzione?
Nous allons imparare quelque cosa, tu vainquera la Medaille sdleif per il miglior matematico in reparto geriatria, e la postale per la storia delle pischelle non la.avvisa nessuno
Re: IItaliani scarsi in matematica, test su cicloweb
Inviato: domenica 12 novembre 2023, 11:52
da nino58
herbie ha scritto: ↑domenica 29 ottobre 2023, 15:07
galliano ha scritto: ↑domenica 29 ottobre 2023, 8:25
08-21-32-perq1.jpg
Questa è appropriazione indebita di fotogramma....per qualche dollaro in più
... " non mi tornavano i conti"... - le parole esatte che pronuncia Lee Van Clift
Re: IItaliani scarsi in matematica, test su cicloweb
Inviato: domenica 12 novembre 2023, 11:59
da Galois
Joannes Muller ha scritto: ↑domenica 12 novembre 2023, 10:28
Galois ha scritto: ↑sabato 28 ottobre 2023, 21:04
Evidentemente non sai un molto di matematica, in particolare non sai che ho dimostrato che non esiste una formula risolutiva per le equazioni di grado maggiore o uguale a 5, ragion per cui la tua "fattorizzazione" si può solo approcciare numericamente o a tentativi, il che la rende una domanda del tutto non stimolante e inutile.
PS: il tuo post è pieno di errori matematici, a proposito...
studia piccolo ignorantello :lo studio di Galois era riferito a equazioni in una variabile.
Cerca anche di capire quello che leggi: ho scritto che posso fattorizzare il polinomio presentato. Evidentemente ci sono polinomi in 2 variabili che non si fattorizzano .
Il metodo, definito elegante e geniale da un noto matematico, permette di fattorizzare polinomi in 2 variabili quando siano
prodotto di termini lineari. In lingua italiana "non sai un molto" è errore..
Sei sul pari di un Antonio Nibali che dicesse a Evenepoel : cambia sport non sei dotato per il ciclismo..
Grazie per aver confermato quanto sia vero " italiani scarsi " in matematica.". Mi piacerebbe molto conoscere i tuoi risultati scolastici. Quello che mi sorprende non è la tua grande ignoranza della matematica ma la superficialità con la quale scrivi di argomenti a te totalmente ignoti..
Sehr geehrter Herr Joannes Muller,
partendo dalla premessa che come ben saprà, si può dimostrare che definendo un appropriato spazio di probabilità, la probabilità che un polinomio NON omogeneo in due variabili sia fattorizzabile è.... 0 . Detto ciò, ti rimando a quello che gli inglesi chiamano "factor theorem" per ricordarti che, procedendo A TENTATIVI, o NUMERICAMENTE (cosa che può essere stimolante soltanto se sei un computer o un essere non pensante, non se sei un matematico) basandosi su x−by−c | p(x,y)⟺p(by+c,y)=0 si può giungere alla tutt'altro che impressionante fattorizzazione
(2 x - 3 y + 2) (x^6 + 3 x^4 + x y^3 - y^2 - y + 3) del tuo polinomio, che non può essere scomposto ulteriormente. Per cui, un modo più adeguato di porre la domande sarebbe stato di chiedere se il polinomio citato è irriducibile in Z,Q,R. Ogni matematico sa che chiedersi se un polinomio casuale in due variabili non omogeneo di grado sufficientemente alto è scomponibile è una perdita di tempo. Anche ammettendo che la tecnica da te citata porti alla fattorizzazione vista sopra, non è una tecnica che può essere generalmente applicata e per cui lascia il tempo che trova. Nessun corso di matematica all'università si concentra sulla fattorizzazione in R di polinomi in più variabili. Per cui, l'idea di giudicare il livello di matematica di un'intera nazione basandosi sulla capacità di scomporre il polinomio da te citato, è molto paragonabile all'idea di giudicare le conoscenze linguistiche dell'Italia chiedendo qual è la dodicesima lettera nella seconda riga a pagina 143 della Divina commedia.
Nota Bene: per essere uno che viene a fare la morale sul forum sulla matematica, dovresti essere in grado di parlarne a un livello adeguato. Dire, ad esempio, che hai allegato una fattorizzazione quando hai allegato un polinomio è un errore davvero elementare che ti dà la stessa credibilità che avrebbe un partecipante di my 600 lb life come personal trainer. In aggiunta a ciò, la tua domanda è estremamente vaga e io in tutta la risposta ho dovuto assumere che ci stiamo riferendo a polinomi reali, perché probabilmente tu non ne conosci altri, mentre la risposta ovviamente varia a seconda dell'anello polinomiale a cui ci stiamo riferendo. Inoltre, attaccare il mio messaggio basandosi su quello che (come ben interpretato dall'esimio Primo) è stato un errore di trascrizione nell'adattamento dei toni del mio messaggio per giudicare il mio italiano, sembra piuttosto un modo di distogliere l'attenzione dall'oscenità di domanda su cui hai realizzato che ti sei basato per giudicare il livello di matematica dell'Italia.
NB2: non c'è assolutamente modo di sapere come scomporre quel polinomio in seconda liceo senza sapere a priori il risultato.
Meine ganz beste, herzliche Grüsse
Re: IItaliani scarsi in matematica, test su cicloweb
Inviato: domenica 12 novembre 2023, 14:46
da Obim23
Se permetti sono della stessa idea di "Galois", non mi sembra stimolante focalizzarsi su specifici polinomi che casualmente (come dice "Galois" con probabilita' nulla) si possono fattorizzare.
Sarebbe stato molto piu' stimolante per la studentessa sapere che tramite l'elegantissima teoria di Galois e' stata dimostrato che e' impossibile determinare una soluzione esplicita di una generica equazione di 5 grado. Fargli sapere dell'dea della costruzione con riga e compasso e il legame con l'algebra. Magari dirle che invece grazie ai potenti metodi dell'analisi matematica con il Th del Dini si riesce a provare che sotto opportune ipotesi se si trova una soluzione di un'equazione f(x,y)=0 allora se ne trova una curva intera di soluzioni e in questo caso i polinomi a due variabili sono solo un caso particolare.
Parlare di fattorizzazione di polinomi a due incognite in cui la situazione e' ancora piu' complessa non ha senso, a meno che non si proponga una sfida ben circostanziata, ad esempio dire esplicitamente che ti stai approcciando ad un metodo in cui sai a priori che il polinomio si sa fattorizzare con polinomi del primo ordine. Se sparo un polinomio a caso come potrei sapere come approcciarlo, certo che se io ti propongo un polinomio che ho costruito partendo dalla fattorizzazione e chiedo a te di fattorizzarlo e' come se ti chiedessi di scoprire che numero tra 1 e 10000 che ho pensato. Facile per me impossibile per te.
Non mi sembra di vedere problemi matematici ben posti e con soluzioni chiare, solo voglia di vantarsi di fantasmagorici metodi che nessun altro conosce. Senza spiegarli mai
L'aver proposto alla studentessa di presentare tale polinomio alla sua professoressa non mi e' sembrata una cosa molto elegante.
Ai ragazzi vanno date idee e bisogna fargli capire che la matematica puo' essere chiara e semplice e soprattutto utile. Partire da un polinomio a due variabili per una studentessa di scuola dovrebbe farla scappare, a che serve?
Re: IItaliani scarsi in matematica, test su cicloweb
Inviato: domenica 12 novembre 2023, 16:48
da nemecsek.
Re: IItaliani scarsi in matematica, test su cicloweb
Inviato: domenica 12 novembre 2023, 16:53
da Galois
Benoit_Pizzuto ha scritto: ↑domenica 12 novembre 2023, 11:39
tu vainquera la Medaille sdleif per il miglior matematico in reparto geriatria
GOAT

Re: IItaliani scarsi in matematica, test su cicloweb
Inviato: domenica 12 novembre 2023, 22:45
da Gimbatbu
nino58 ha scritto: ↑domenica 12 novembre 2023, 11:52
herbie ha scritto: ↑domenica 29 ottobre 2023, 15:07
galliano ha scritto: ↑domenica 29 ottobre 2023, 8:25
08-21-32-perq1.jpg
Questa è appropriazione indebita di fotogramma....per qualche dollaro in più
... " non mi tornavano i conti"... - le parole esatte che pronuncia Lee Van Clift
E no Nino, diamo a Clint quel che è di Clint e sembra ci sia una versione poi tagliata da Sergio Leone nella quale Eastwood dice in risposta alla domanda di Van Clift:
"...non mi tornavano i polinomi"
Re: IItaliani scarsi in matematica, test su cicloweb
Inviato: domenica 12 novembre 2023, 23:14
da Obim23
Gimbatbu ha scritto: ↑domenica 12 novembre 2023, 22:45
nino58 ha scritto: ↑domenica 12 novembre 2023, 11:52
herbie ha scritto: ↑domenica 29 ottobre 2023, 15:07
Questa è appropriazione indebita di fotogramma....per qualche dollaro in più
... " non mi tornavano i conti"... - le parole esatte che pronuncia Lee Van Clift
E no Nino, diamo a Clint quel che è di Clint e sembra ci sia una versione poi tagliata da Sergio Leone nella quale Eastwood dice in risposta alla domanda di Van Clift:
"...non mi tornavano i polinomi"
A causa di persone che introducono discussioni come queste, mi sembra che ci stia sbizzarrendo a dileggiare la matematica che invece è una cosa seria. Qui c’è qualcuno che si atteggia a conoscitore che invece cerca solo di pavoneggiarsi e rende una barzelletta la regina delle discipline scientifiche.
Re: IItaliani scarsi in matematica, test su cicloweb
Inviato: domenica 12 novembre 2023, 23:23
da Obim23
con questo mio intervento non diro’ mai piu’ una parola riguardante la matematica, gia’ mi ero riproposto di farlo dopo essere intervenuto su un argomento simile introdotto dallo stesso utente che voleva rivoluzionare l’insegnamento della matematica partendo dal fatto che lui aveva scritto delle formule astruse, purtroppo ci sono caduto un’altra volta. Da ora in poi la sezione off topic, sara’ per me off limit cosi’ non ci casco piu’ e mi avveleno di meno
Re: IItaliani scarsi in matematica, test su cicloweb
Inviato: lunedì 13 novembre 2023, 4:34
da Galois
Obim23 ha scritto: ↑domenica 12 novembre 2023, 23:23
con questo mio intervento non diro’ mai piu’ una parola riguardante la matematica, gia’ mi ero riproposto di farlo dopo essere intervenuto su un argomento simile introdotto dallo stesso utente che voleva rivoluzionare l’insegnamento della matematica partendo dal fatto che lui aveva scritto delle formule astruse, purtroppo ci sono caduto un’altra volta. Da ora in poi la sezione off topic, sara’ per me off limit cosi’ non ci casco piu’ e mi avveleno di meno
fai bene
"le formule inedite che ho trovato"
ROTFL
per altro a quanto pare questa fattorizzazione dei polinomi in più variabili è il suo fetish principale, probabilmente non si è mai occupato di nient'altro anche perché dei temi realmente utili non capisce un tubo, meglio studiarsi una pagina a caso della divina commedia a memoria e sbattere in faccia ai prof di letteratura che sono ignorantelli perché non la sanno recitare
questo se si facesse un giro nel mondo accademico riceverebbe un istantaneo calcio in c*lo che, grazie alle formule di trisezione inedite della tangente, lo farebbe atterrare direttamente dove potrà farsi un bagno di umiltà
e invece si è beccato una roastata clamorosa su un forum di ciclismo

Re: IItaliani scarsi in matematica, test su cicloweb
Inviato: lunedì 13 novembre 2023, 7:12
da nino58
Obim23 ha scritto: ↑domenica 12 novembre 2023, 23:23
con questo mio intervento non diro’ mai piu’ una parola riguardante la matematica, gia’ mi ero riproposto di farlo dopo essere intervenuto su un argomento simile introdotto dallo stesso utente che voleva rivoluzionare l’insegnamento della matematica partendo dal fatto che lui aveva scritto delle formule astruse, purtroppo ci sono caduto un’altra volta. Da ora in poi la sezione off topic, sara’ per me off limit cosi’ non ci casco piu’ e mi avveleno di meno
Scusa, ma con 86 messaggi totali, quanti ne hai postato fuori da off topic, cioè negli argomenti in topic del forum ?
Così, tanto per sapere.
Sono perfettamente conscio che la matematica è la regina sia della logica pura che del sapere scientifico applicato ma il fare battute non è dileggio bensì tentativo di far rilassare un ambiente che, se vissuto rissosamente, conduce all'effetto contrario di quello utile : spiegare a chi non conosce.
Questo è il mio pensiero, discutibile quanto vuoi ma senza malizie.
Re: IItaliani scarsi in matematica, test su cicloweb
Inviato: lunedì 13 novembre 2023, 9:00
da Joannes Muller
Galois ha scritto: ↑sabato 28 ottobre 2023, 21:04
Evidentemente non sai un molto di matematica, in particolare non sai che ho dimostrato che non esiste una formula risolutiva per le equazioni di grado maggiore o uguale a 5, ragion per cui la tua "fattorizzazione" si può solo approcciare numericamente o a tentativi, il che la rende una domanda del tutto non stimolante e inutile.
PS: il tuo post è pieno di errori matematici, a proposito...
messaggio maleducato , stupido e disonesto.
Quali sarebbero gli errori ?
La stupidità del messaggio consiste nello scrivere stupidaggini non avendo capito quello che hai letto: ho detto che ho ideato un metodo per fattorizzare il polinomio e tu dici che non è possibile.
la cosa normale sarebbe lo stupore, magari l'incredulità e la curiosità.
Chi mi scrive in privato puo' ricevere l'articolo che ho pubblicato con il metodo e la soluzione..
Re: IItaliani scarsi in matematica, test su cicloweb
Inviato: lunedì 13 novembre 2023, 12:25
da Joannes Muller
Trigonometria mediante uso vettori.
Sono oltre 150 anni che la trigonometria viene insegnata allo stesso modo: formule e manipolazioni algebriche.
Provate a far dimostrare questa semplice proprietà con i metodi tradizionali...
Re: IItaliani scarsi in matematica, test su cicloweb
Inviato: lunedì 13 novembre 2023, 14:03
da Walter_White
Thread clamoroso
Re: IItaliani scarsi in matematica, test su cicloweb
Inviato: lunedì 13 novembre 2023, 14:11
da Allabersagliera
Obim23 ha scritto: ↑domenica 12 novembre 2023, 23:14
A causa di persone che introducono discussioni come queste, mi sembra che ci stia sbizzarrendo a dileggiare la matematica che invece è una cosa seria.
Suvvia, credo che nessuno qui dentro voglia dileggiare la matematica. Nessuno che sia sano di mente oserebbe negare, in piena coscienza, che essa sia la base per lo studio con un minimo di fondamento scientifico di qualsiasi fenomeno. Ma veramente qualsiasi. Pesco a caso dall'internet:

- 79391-r.1-37e-question-digital_image032.png (292.75 KiB) Visto 6620 volte
Re: IItaliani scarsi in matematica, test su cicloweb
Inviato: lunedì 13 novembre 2023, 14:19
da chinaski89
Primo86 ha scritto: ↑domenica 12 novembre 2023, 11:08
Joannes Muller ha scritto: ↑domenica 12 novembre 2023, 10:28
In lingua italiana "non sai un molto" è errore..
Buondì,
premetto che come più parte dei connazionali non so nulla di matematica, però capisco qualcosina di italiano.
Non entro, dunque, nell'avvincente diatriba,
Tutti in piedi sul divano alla Meda proprio, non dormo da giorni per seguire codeste appassionanti vicende. Continuo a chiedermi come un volatile tanto pieno di se possa levarsi in volo, dev essere un po' come quella del calabrone

personalmente trovo sempre più insopportabili con il passare degli anni i professorini sotuttoio. Qui però siamo nei pressi del delirio di onnipotenza.
Ero invece molto interessato alle sostanze psicotrope che girano in quella classe dove si disquisisce intorno alla scomponibilità di polinomi. Per chiudere devo con infinita vergogna e grande mestizia annunciare che di come un polinomio del genere si possa scomporre non me ne sbatte una beata mazza. Proprio zero. Meno mille.(e mo occhio che arriva quell'altro per il 'non' di troppo o qualche altro rompimento di balle).
Ora scusate ma vado con Cersei Lannister a farmi prendere a pomodori marci in faccia tra gli Shame! Della folla inferocita
Re: IItaliani scarsi in matematica, test su cicloweb
Inviato: lunedì 13 novembre 2023, 14:22
da chinaski89
Allabersagliera ha scritto: ↑lunedì 13 novembre 2023, 14:11
Obim23 ha scritto: ↑domenica 12 novembre 2023, 23:14
A causa di persone che introducono discussioni come queste, mi sembra che ci stia sbizzarrendo a dileggiare la matematica che invece è una cosa seria.
Suvvia, credo che nessuno qui dentro voglia dileggiare la matematica. Nessuno che sia sano di mente oserebbe negare, in piena coscienza, che essa sia la base per lo studio con un minimo di fondamento scientifico di qualsiasi fenomeno. Ma veramente qualsiasi. Pesco a caso dall'internet:
79391-r.1-37e-question-digital_image032.png
Chissà quanti polinomi scomporranno

non sto più nella pelle

Re: IItaliani scarsi in matematica, test su cicloweb
Inviato: lunedì 13 novembre 2023, 15:19
da Galois
Joannes Muller ha scritto: ↑lunedì 13 novembre 2023, 12:25
Trigonometria mediante uso vettori.
Sono oltre 150 anni che la trigonometria viene insegnata allo stesso modo: formule e manipolazioni algebriche.
Provate a far dimostrare questa semplice proprietà con i metodi tradizionali...
Le famose "proof by picture", nelle università di questa zona ti avrebbero fatto guadagnare un calcio in c*lo e un invito a iscriverti ad antropologia dopo due settimane
Compared to formal proofs
For a proof to be accepted by the mathematical community, it must logically show how the statement it aims to prove follows totally and inevitably from a set of assumptions.[9] A proof without words might imply such an argument, but it does not make one directly, so it cannot take the place of a formal proof where one is required.[10][11] Rather, mathematicians use proofs without words as illustrations and teaching aids for ideas that have already been proven formally.[12][13]
Re: IItaliani scarsi in matematica, test su cicloweb
Inviato: lunedì 13 novembre 2023, 15:20
da Galois
chinaski89 ha scritto: ↑lunedì 13 novembre 2023, 14:19
Ero invece molto interessato alle sostanze psicotrope che girano in quella classe dove si disquisisce intorno alla scomponibilità di polinomi. Per chiudere devo con infinita vergogna e grande mestizia annunciare che di come un polinomio del genere si possa scomporre non me ne sbatte una beata mazza. Proprio zero. Meno mille.(e mo occhio che arriva quell'altro per il 'non' di troppo o qualche altro rompimento di balle).
Chiunque si sia occupato un minimo di algebra la pensa come te
Re: IItaliani scarsi in matematica, test su cicloweb
Inviato: lunedì 13 novembre 2023, 17:59
da Bitossi
Primo86 ha scritto: ↑domenica 12 novembre 2023, 11:08
Joannes Muller ha scritto: ↑domenica 12 novembre 2023, 10:28
In lingua italiana "non sai un molto" è errore..
Buondì,
premetto che come più parte dei connazionali non so nulla di matematica, però capisco qualcosina di italiano.
Non entro, dunque, nell'avvincente diatriba, se non per un minuscolo cenno interpretativo del breve passaggio quotato.
Il messaggio originario del misterioso contendente di questa numerica tenzone mi pare modificato.
Evidentemente il gentiluomo aveva tirato fuori il cazzo, rimettendoselo repentinamente nei pantal.... Cioè nella tastiera, per evitare un eccessivo inasprimento dei toni.
In una frettolosa correzione, il perentorio "non sai un cazzo" è diventato un goffo "non sai un molto".
Prova tu stesso a togliere il molto e infilare il cazzo e giungerai alla medesima conclusione: non di analfabetismo (se non, a quanto pare, matematico), si tratta, ma di evidente errore di battitura.
Tanto dovevo.
Scusate, ma nessuno si è accorto che "IItaliani" nel titolo è scritto con due 'I' iniziali?

Re: IItaliani scarsi in matematica, test su cicloweb
Inviato: lunedì 13 novembre 2023, 18:33
da Joannes Muller
Bitossi ha scritto: ↑lunedì 13 novembre 2023, 17:59
[
Scusate, ma nessuno si è accorto che "IItaliani" nel titolo è scritto con due 'I' iniziali?
è vero...
Grazie...
Ciao
Re: IItaliani scarsi in matematica, test su cicloweb
Inviato: lunedì 13 novembre 2023, 18:41
da Joannes Muller
Galois ha scritto: ↑lunedì 13 novembre 2023, 15:19
Le famose "proof by picture", nelle università di questa zona ti avrebbero fatto guadagnare un calcio in c*lo e un invito a iscriverti ad antropologia dopo due settimane
Compared to formal proofs
For a proof to be accepted by the mathematical community, it must logically show how the statement it aims to prove follows totally and inevitably from a set of assumptions.[9] A proof without words might imply such an argument, but it does not make one directly, so it cannot take the place of a formal proof where one is required.[10][11] Rather, mathematicians use proofs without words as illustrations and teaching aids for ideas that have already been proven formally.[12][13]
quello che riporti potrebbe avere un senso solo se riesci a dimostrare in altro modo quanto ho dimostrato vettorialmente. Se, come probabile non riesci, fai di nuovo una figuraccia..
Inoltre proof whithout word hanno lo scopo di far capire quello che trattato algebricamente potrebbe non essere chiaro.
Per discutere di didattica della matematica occorrono conoscenze e competenze non una infarinatura di idee confuse come nel tuo caso..
Ho verificato una relazione non ho dimostrato un teorema..
Re: IItaliani scarsi in matematica, test su cicloweb
Inviato: lunedì 13 novembre 2023, 19:13
da Gimbatbu
Quando un uomo con la pistola incontra un uomo con il polinomio, l' uomo con la pistola ecc. ecc.
Re: IItaliani scarsi in matematica, test su cicloweb
Inviato: lunedì 13 novembre 2023, 20:12
da Galois
Joannes Muller ha scritto: ↑lunedì 13 novembre 2023, 18:41
quanto ho dimostrato vettorialmente.
Ho verificato una relazione non ho dimostrato un teorema..
A e il contrario A nel giro di due righe
bene così
Re: IItaliani scarsi in matematica, test su cicloweb
Inviato: lunedì 13 novembre 2023, 21:59
da Allabersagliera
Gimbatbu ha scritto: ↑lunedì 13 novembre 2023, 19:13
Quando un uomo con la pistola incontra un uomo con il polinomio, l' uomo con la pistola ecc. ecc.
E comunque Clint Eastwood lo preferisco nelle vesti di poliziotto che nei western: il top secondo me resta "Un polinomio magnum per l'ispettore Callaghan"
Re: IItaliani scarsi in matematica, test su cicloweb
Inviato: lunedì 13 novembre 2023, 22:54
da Gimbatbu
Allabersagliera ha scritto: ↑lunedì 13 novembre 2023, 21:59
Gimbatbu ha scritto: ↑lunedì 13 novembre 2023, 19:13
Quando un uomo con la pistola incontra un uomo con il polinomio, l' uomo con la pistola ecc. ecc.
E comunque Clint Eastwood lo preferisco nelle vesti di poliziotto che nei western: il top secondo me resta "Un polinomio magnum per l'ispettore Callaghan"
"Coraggio! Fatti polinomiare!"
Re: IItaliani scarsi in matematica, test su cicloweb
Inviato: lunedì 13 novembre 2023, 23:20
da Gimbatbu
Quando Allabersagliera chiama...
Dal film: Ispettore Callaghan: il caso Trigonometria è tuo.
"Io sono cattivo, incazzato e stanco. Sono uno che mangia cateti, piscia teoremi e riesce a mettere un vettore in c**o a un polinomio a duecento metri. Per cui, và a rompere l' ipotenusa a qualcun altro!"
Re: IItaliani scarsi in matematica, test su cicloweb
Inviato: martedì 14 novembre 2023, 7:46
da Allabersagliera
Gimbatbu ha scritto: ↑lunedì 13 novembre 2023, 23:20
Quando Allabersagliera chiama...
Dal film: Ispettore Callaghan: il caso Trigonometria è tuo.
"Io sono cattivo, incazzato e stanco. Sono uno che mangia cateti, piscia teoremi e riesce a mettere un vettore in c**o a un polinomio a duecento metri. Per cui, và a rompere l' ipotenusa a qualcun altro!"
Se ci fosse il trofeo Baracchi della stupidità, vorrei correrlo in coppia con te!

Re: IItaliani scarsi in matematica, test su cicloweb
Inviato: martedì 14 novembre 2023, 10:52
da Trullo
«Io ne ho viste cose che voi umani non potreste immaginarvi:
polinomi in fiamme al largo dei tensori di Orione,
e ho visto ipotenuse balenare nel buio vicino alle trasformate di Tannhäuser.
E tutti quei momenti andranno perduti nel tempo,
come lacrime nella pioggia»
Re: IItaliani scarsi in matematica, test su cicloweb
Inviato: martedì 14 novembre 2023, 14:12
da Gimbatbu
Allabersagliera ha scritto: ↑martedì 14 novembre 2023, 7:46
Gimbatbu ha scritto: ↑lunedì 13 novembre 2023, 23:20
Quando Allabersagliera chiama...
Dal film: Ispettore Callaghan: il caso Trigonometria è tuo.
"Io sono cattivo, incazzato e stanco. Sono uno che mangia cateti, piscia teoremi e riesce a mettere un vettore in c**o a un polinomio a duecento metri. Per cui, và a rompere l' ipotenusa a qualcun altro!"
Se ci fosse il trofeo Baracchi della stupidità, vorrei correrlo in coppia con te!
Per batterci devono riesumare Gianni e Pinotto.

Re: IItaliani scarsi in matematica, test su cicloweb
Inviato: martedì 14 novembre 2023, 14:19
da Gimbatbu
Trullo ha scritto: ↑martedì 14 novembre 2023, 10:52
«Io ne ho viste cose che voi umani non potreste immaginarvi:
polinomi in fiamme al largo dei tensori di Orione,
e ho visto ipotenuse balenare nel buio vicino alle trasformate di Tannhäuser.
E tutti quei momenti andranno perduti nel tempo,
come lacrime nella pioggia»
Prevedo una deriva inarrestabile...
Re: IItaliani scarsi in matematica, test su cicloweb
Inviato: martedì 14 novembre 2023, 14:30
da Gimbatbu
"Ci sarà un giorno in cui la divisione degli uomini cederà, in cui abbandoneremo le moltiplicazioni e faremo le addizioni con le palline, ma non è questo il giorno! Ci sarà l' ora delle sottrazioni con le mele e dell' equazioni frantumate quando la matematica degli uomini arriverà al crollo, ma non è questo il giorno! Quest' oggi calcoliamo!"
Re: IItaliani scarsi in matematica, test su cicloweb
Inviato: martedì 14 novembre 2023, 15:19
da herbie
Ma scusate, giusto per riportare un po' di serietà in questo topic ormai preda di umoristi di bassa lega....
Approfitto dei matematici qui presenti per porre una questione che da anni mi incuriosisce assai: la fantomatica dimostrazione del teorema di Fermat che non stava nel margine della pagina, da lui stesso trovata (la cosa mi è balenata alla mente, chissà perchè, leggendo l'inizio di questa discussione

). Quante probabilità ci sono che esista veramente e che non sia una delle migliaia scartate dopo cinque minuti di riflessione dai matematici di ogni tempo che si sono occupati del problema, secondo voi?
Possibile che per dimostrarlo siano servite centinaia di pagine di matematica sviluppatasi quattro secoli dopo, ed esista una dimostrazione accessibile ad un matematico dilettante del 600? A me pare una boutade.
Sarei curioso di vedere Johannes alle prese con questo problema.

Re: IItaliani scarsi in matematica, test su cicloweb
Inviato: martedì 14 novembre 2023, 15:24
da Galois
herbie ha scritto: ↑martedì 14 novembre 2023, 15:19
Ma scusate, giusto per riportare un po' di serietà in questo topic preda di umoristi di bassa lega....
Approfitto dei matematici qui presenti per porre una questione che da anni mi incuriosisce assai: la fantomatica dimostrazione del teorema di Fermat che non stava nel margine della pagina, da lui stesso trovata (la cosa mi è balenata alla mente, chissà perchè, leggendo l'inizio di questa discussione

). Quante probabilità ci sono che esista veramente e che non sia una delle migliaia scartate dopo cinque minuti di riflessione dai matematici di ogni tempo che si sono occupati del problema, secondo voi?
Possibile che per dimostrarlo siano servite centinaia di pagine di matematica sviluppatasi quattro secoli dopo, ed esista una dimostrazione accessibile ad un matematico dilettante del 600? A me pare una boutade.
Sarei curioso di vedere Johannes alle prese con questo problema.
Non sono d'accordo, questo topic mi ha fatto battere il record di risate che resisteva dal lontano 6.2.2012 (sono un fan di Andy Schleck)
Sul resto ho una mia opinione, ma per sicurezza chiederei a Caterina
Re: IItaliani scarsi in matematica, test su cicloweb
Inviato: martedì 14 novembre 2023, 16:11
da Allabersagliera
Vabbè, se i film di Clint Eastwood sembrano poco seri, cambiamo genere.
Potrei suggerire una miniserie su un giovane, originario del Gambia, che seppur costretto in schiavitù nelle piantagioni della Virginia, trovò il modo di coltivare anche gli studi matematici, inventando nuovi metodi per calcolare le potenze e occupandosi anche delle relative operazioni inverse:

- Roots-Radici-Malachi-Kirby.jpg (86.25 KiB) Visto 6017 volte
Re: IItaliani scarsi in matematica, test su cicloweb
Inviato: martedì 14 novembre 2023, 17:02
da Trullo
Re: IItaliani scarsi in matematica, test su cicloweb
Inviato: martedì 14 novembre 2023, 17:05
da Trullo
herbie ha scritto: ↑martedì 14 novembre 2023, 15:19
Possibile che per dimostrarlo siano servite centinaia di pagine di matematica sviluppatasi quattro secoli dopo, ed esista una dimostrazione accessibile ad un matematico dilettante del 600? A me pare una boutade.
Il mio pensiero, per quello che vale, è che lui effettivamente abbia avuto la convinzione di aver risolto il teorema e che fosse in buona fede quando ha scritto quell'appunto. Ma ritengo che la sua dimostrazione non fosse corretta, altrimenti i matematici dei secoli seguenti la avrebbero facilmente replicata
Ah, Herbie, nel libro che ho commentato nel topic letterario qualche giorno fa si immagina che un matematico di Oxford lo abbia risolto
Re: IItaliani scarsi in matematica, test su cicloweb
Inviato: martedì 14 novembre 2023, 18:01
da Allabersagliera
herbie ha scritto: ↑martedì 14 novembre 2023, 15:19
Approfitto dei matematici qui presenti per porre una questione che da anni mi incuriosisce assai:
[...]
Possibile che per dimostrarlo siano servite centinaia di pagine di matematica sviluppatasi quattro secoli dopo, ed esista una dimostrazione accessibile ad un matematico dilettante del 600? A me pare una boutade.
Sarei curioso di vedere Johannes alle prese con questo problema.
Non sono un matematico, ma riporto da una lettura divulgativa di qualche anno fa
(S.Singh, L'ultimo teorema di Fermat, BUR)
"Se Fermat non aveva in mano la dimostrazione di Wiles, che cosa aveva dunque in mano? I matematici si dividono in due partiti. Gli scettici realisti (...) un raro momento di debolezza", ovvero si sarebbe infilato in un ragionamento errato, scambiandolo per valido, e accortosi in seguito dell'errore avrebbe lasciato cadere la cosa; oppure...
"Altri matematici, i romantici ottimisti, ritengono che F. potrebbe aver ottenuto una dimostrazione valida. Qualunque possa essere stata, doveva basarsi sulla matematica del xvii secolo, e doveva coinvolgere un ragionamento così ingegnoso che è sfuggito a tutti, da Euler a Wiles". E qualcuno, aggiunge, sogna ancora oggi di ripensare quella dimostrazione, quella originaria di F., e non quella attuale di Wiles.
Quindi, la partita è aperta. E ci sarebbe anche una terza possibilità, ma poco probabile: che millantasse, o volesse lanciare una sfida, o fare uno scherzo a qualcuno; ma in tal caso non si sarebbe limitato a lasciare un appunto nella sua copia di un'opera che stava studiando.
Spero di avere fornito qualche elemento utile; altrimenti torno alle minchiate, con le quali mi sento decisamente più a mio agio
