IItaliani scarsi in matematica, test su cicloweb
Re: IItaliani scarsi in matematica, test su cicloweb
OK scettico realista allora
"Senza gli spettatori che commentano sul divano Vingegaard starebbe a pescare le trote in Danimarca, Pogi farebbe l'animatore in qualche villaggio a Jesolo, Remco il terzino sinistro della Casertana e i gemelli Yates avrebbero messo su una banda di criminali scalcagnata dalle parti di Manchester." (Kreuziger80)
"Il Finestre toglie e il Finestre dà" (Merlozero)
"Il Finestre toglie e il Finestre dà" (Merlozero)
Re: IItaliani scarsi in matematica, test su cicloweb
Potete farvi tutti i ragionamenti che volete ma finché non sento cosa dice Caterina non mi smuovo
- Maìno della Spinetta
- Messaggi: 11967
- Iscritto il: giovedì 9 dicembre 2010, 15:53
Re: IItaliani scarsi in matematica, test su cicloweb
Per curiosità, quanti matematici sono diventati primi ministro/presidenti di un Paese? La Merkel era una fisica - ci si avvicina... Ma matematici proprio?
“Our interest’s on the dangerous edge of things.
The honest thief, the tender murderer, the superstitious atheist”.
The honest thief, the tender murderer, the superstitious atheist”.
Re: IItaliani scarsi in matematica, test su cicloweb
Nonostante i matematici e i fisici siano le persone col QI medio più alto e quindi idealmente più adeguati al governo, peccano quasi sempre in abilità linguistiche, di conoscenze sociali, di conoscenze geopolitiche oltre che nella capacità di essere persuasivi verbalmente e spesso trovano più conforto nel mondo vero o falso della matematica che in quello corrotto della politica.Maìno della Spinetta ha scritto: ↑martedì 14 novembre 2023, 18:15 Per curiosità, quanti matematici sono diventati primi ministro/presidenti di un Paese? La Merkel era una fisica - ci si avvicina... Ma matematici proprio?
Re: IItaliani scarsi in matematica, test su cicloweb
I matematici vivono in un mondo a quattro dimensioni, non in quello bidimensionale della politica; in quest'ultimo l'asse Z è inutile.Galois ha scritto: ↑martedì 14 novembre 2023, 19:01Nonostante i matematici e i fisici siano le persone col QI medio più alto e quindi idealmente più adeguati al governo, peccano quasi sempre in abilità linguistiche, di conoscenze sociali, di conoscenze geopolitiche oltre che nella capacità di essere persuasivi verbalmente e spesso trovano più conforto nel mondo vero o falso della matematica che in quello corrotto della politica.Maìno della Spinetta ha scritto: ↑martedì 14 novembre 2023, 18:15 Per curiosità, quanti matematici sono diventati primi ministro/presidenti di un Paese? La Merkel era una fisica - ci si avvicina... Ma matematici proprio?
Mi sono permesso di segnalare questo post con questa motivazione: Questo mesaggio non ha violato nessuna regola del forum (è scritto generalmente, non esclusivamente) ma è uno dei migliori scritti da sempre: un inno al sublime cazzeggioAllabersagliera ha scritto: ↑martedì 14 novembre 2023, 7:46Gimbatbu ha scritto: ↑lunedì 13 novembre 2023, 23:20 Quando Allabersagliera chiama...
Dal film: Ispettore Callaghan: il caso Trigonometria è tuo.
"Io sono cattivo, incazzato e stanco. Sono uno che mangia cateti, piscia teoremi e riesce a mettere un vettore in c**o a un polinomio a duecento metri. Per cui, và a rompere l' ipotenusa a qualcun altro!"![]()
Se ci fosse il trofeo Baracchi della stupidità, vorrei correrlo in coppia con te!![]()
Preservare lo spirito di quel tempo, in cui credevamo nell'unità e allo stesso tempo nella diversità
Nataša Pirc Musar, 8 febbraio 2024, presidente della Slovenia,
Frase pronunciata a Sarajevo durante la cerimonia per l'intitolazione della pista olimpica al goriziano Jure Franko, primo medagliato jugoslavo alle olimpiadi invernali
Nataša Pirc Musar, 8 febbraio 2024, presidente della Slovenia,
Frase pronunciata a Sarajevo durante la cerimonia per l'intitolazione della pista olimpica al goriziano Jure Franko, primo medagliato jugoslavo alle olimpiadi invernali
Re: IItaliani scarsi in matematica, test su cicloweb
La questione mi ha fatto casualmente venire in mente un episodio ancor più romanzesco, e infatti romanzato: nel suo ricordo di Panagulis (Un Uomo), Oriana Fallaci sostiene che Alekos le avesse detto che, nella sua cella di massima sicurezza durante la prigionia, durante una notte insonne fosse riuscito a risolvere a mente il Teorema!herbie ha scritto: ↑martedì 14 novembre 2023, 15:19 Ma scusate, giusto per riportare un po' di serietà in questo topic ormai preda di umoristi di bassa lega....
Approfitto dei matematici qui presenti per porre una questione che da anni mi incuriosisce assai: la fantomatica dimostrazione del teorema di Fermat che non stava nel margine della pagina, da lui stesso trovata (la cosa mi è balenata alla mente, chissà perchè, leggendo l'inizio di questa discussione). Quante probabilità ci sono che esista veramente e che non sia una delle migliaia scartate dopo cinque minuti di riflessione dai matematici di ogni tempo che si sono occupati del problema, secondo voi?
Possibile che per dimostrarlo siano servite centinaia di pagine di matematica sviluppatasi quattro secoli dopo, ed esista una dimostrazione accessibile ad un matematico dilettante del 600? A me pare una boutade.
Sarei curioso di vedere Johannes alle prese con questo problema.![]()
(In effetti Panagulis era un fuori corso di matematica, sia a causa della sua prigionia, ma forse pure prima aveva abbandonato senza laurearsi, non ricordo bene...

Solo che, oltre ad essere costretto praticamente in una buca, gli era stato vietato anche l'uso di carta e penna, e i secondini non avevano risposto alle sue urla per averle. Il mattino dopo, sempre secondo la Fallaci, il procedimento gli era completamente svanito dalla mente, ed in seguito Panagulis si sarebbe spesso lamentato di come questa fosse una tra le peggiori violenze ricevute.

Boh, ci dobbiamo credere?

Re: IItaliani scarsi in matematica, test su cicloweb
Ma soprattutto, essendo sempre alla ricerca del vero, perlomeno del vero logico, non sono allenati all'ipocrisia e alla menzogna, caratteristiche intrinseche delle politiche di governo di qualunque Stato, anche in assenza di corruzione.Galois ha scritto: ↑martedì 14 novembre 2023, 19:01Nonostante i matematici e i fisici siano le persone col QI medio più alto e quindi idealmente più adeguati al governo, peccano quasi sempre in abilità linguistiche, di conoscenze sociali, di conoscenze geopolitiche oltre che nella capacità di essere persuasivi verbalmente e spesso trovano più conforto nel mondo vero o falso della matematica che in quello corrotto della politica.Maìno della Spinetta ha scritto: ↑martedì 14 novembre 2023, 18:15 Per curiosità, quanti matematici sono diventati primi ministro/presidenti di un Paese? La Merkel era una fisica - ci si avvicina... Ma matematici proprio?
Von Rock ? Nein, danke.
Diritto di correre senza condizioni a chi ha scontato una squalifica !!!
Diritto di correre senza condizioni a chi ha scontato una squalifica !!!
Re: IItaliani scarsi in matematica, test su cicloweb
Ci sta.Bitossi ha scritto: ↑martedì 14 novembre 2023, 20:51La questione mi ha fatto casualmente venire in mente un episodio ancor più romanzesco, e infatti romanzato: nel suo ricordo di Panagulis (Un Uomo), Oriana Fallaci sostiene che Alekos le avesse detto che, nella sua cella di massima sicurezza durante la prigionia, durante una notte insonne fosse riuscito a risolvere a mente il Teorema!herbie ha scritto: ↑martedì 14 novembre 2023, 15:19 Ma scusate, giusto per riportare un po' di serietà in questo topic ormai preda di umoristi di bassa lega....
Approfitto dei matematici qui presenti per porre una questione che da anni mi incuriosisce assai: la fantomatica dimostrazione del teorema di Fermat che non stava nel margine della pagina, da lui stesso trovata (la cosa mi è balenata alla mente, chissà perchè, leggendo l'inizio di questa discussione). Quante probabilità ci sono che esista veramente e che non sia una delle migliaia scartate dopo cinque minuti di riflessione dai matematici di ogni tempo che si sono occupati del problema, secondo voi?
Possibile che per dimostrarlo siano servite centinaia di pagine di matematica sviluppatasi quattro secoli dopo, ed esista una dimostrazione accessibile ad un matematico dilettante del 600? A me pare una boutade.
Sarei curioso di vedere Johannes alle prese con questo problema.![]()
(In effetti Panagulis era un fuori corso di matematica, sia a causa della sua prigionia, ma forse pure prima aveva abbandonato senza laurearsi, non ricordo bene...)
Solo che, oltre ad essere costretto praticamente in una buca, gli era stato vietato anche l'uso di carta e penna, e i secondini non avevano risposto alle sue urla per averle. Il mattino dopo, sempre secondo la Fallaci, il procedimento gli era completamente svanito dalla mente, ed in seguito Panagulis si sarebbe spesso lamentato di come questa fosse una tra le peggiori violenze ricevute.![]()
Boh, ci dobbiamo credere?![]()
Penso sia capitato a ciascuno di avere, di notte e non durante il sonno o il sogno ma proprio nei risvegli, intuizioni logiche particolari, che appaiono in quel momento chiarissime ma che se non si ha la forza di alzarsi a scriverle, in seguito non ti riappaiono più.
Von Rock ? Nein, danke.
Diritto di correre senza condizioni a chi ha scontato una squalifica !!!
Diritto di correre senza condizioni a chi ha scontato una squalifica !!!
-
- Messaggi: 895
- Iscritto il: sabato 9 luglio 2022, 23:25
Re: IItaliani scarsi in matematica, test su cicloweb
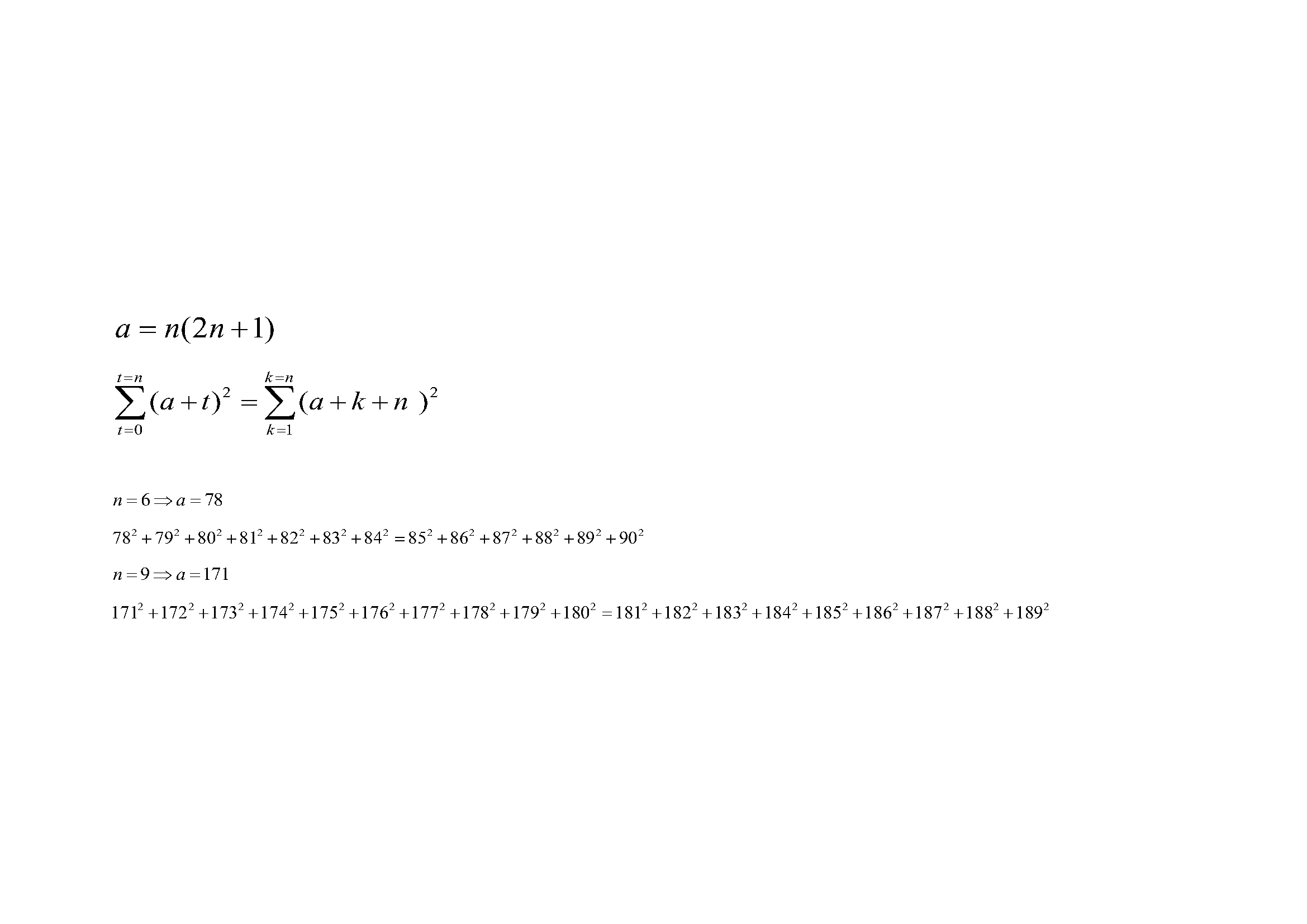
Italiani scarsi in matematica, ma non tutti...
Allego alcuni risultati.. Sto lavorando a un libro (pronto forse tra 6 mesi) ove presento metodi inediti, semplicissimi ( alla portata di studenti liceali dalle seconda classe ) anche se apparentemente non semplici...
se qualcuno vuole informazioni mi scriva in privato.
La matematica mi sta dando belle soddisfazioni..
ciao a tutti..
Allego alcuni risultati.. Sto lavorando a un libro (pronto forse tra 6 mesi) ove presento metodi inediti, semplicissimi ( alla portata di studenti liceali dalle seconda classe ) anche se apparentemente non semplici...
se qualcuno vuole informazioni mi scriva in privato.
La matematica mi sta dando belle soddisfazioni..
ciao a tutti..
- Allegati
-
- sommaquadrati.formula.jpg (139.41 KiB) Visto 1170 volte
-
- quadrati numeri consecutiviAA_1.png (7.46 KiB) Visto 1170 volte
-
- arctaegi.jpg (53.5 KiB) Visto 1170 volte